QUESTION IMAGE
Question
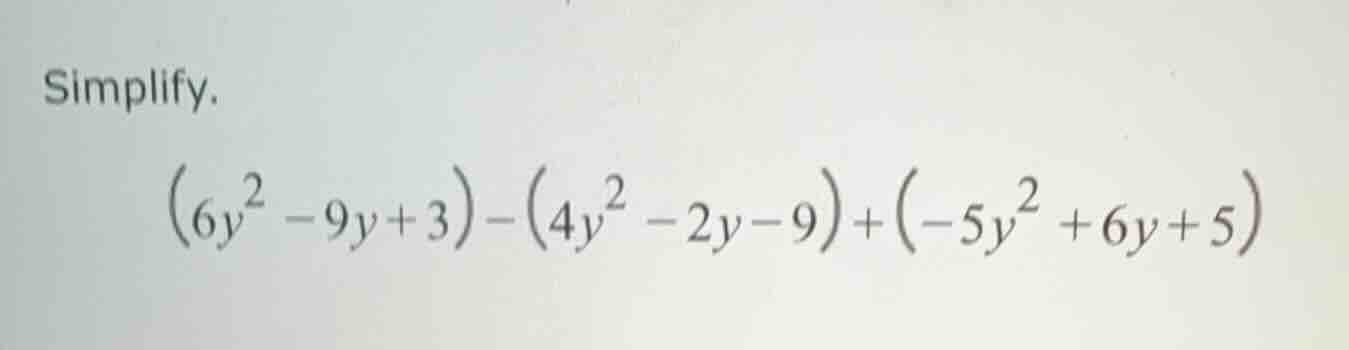
simplify.
$(6y^{2}-9y + 3)-(4y^{2}-2y - 9)+(-5y^{2}+6y + 5)$
Step1: Remove parentheses
$6y^2 - 9y + 3 - 4y^2 + 2y + 9 - 5y^2 + 6y + 5$
Step2: Group like terms
$(6y^2 - 4y^2 - 5y^2) + (-9y + 2y + 6y) + (3 + 9 + 5)$
Step3: Combine like terms
$-3y^2 - y + 17$
Snap & solve any problem in the app
Get step-by-step solutions on Sovi AI
Photo-based solutions with guided steps
Explore more problems and detailed explanations
$-3y^2 - y + 17$