QUESTION IMAGE
Question
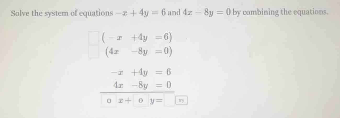
solve the system of equations $-x + 4y = 6$ and $4x - 8y = 0$ by combining the equations.
$square (-x +4y = 6)$
$square (4x -8y = 0)$
$-x +4y = 6$
$4x -8y = 0$
$overline{square x + square y = square}$
Step1: Scale first equation by 4
Multiply $-x + 4y = 6$ by 4:
$$4(-x + 4y) = 4 \times 6$$
$$-4x + 16y = 24$$
Step2: Add to second equation
Add the scaled equation to $4x - 8y = 0$:
$$(-4x + 16y) + (4x - 8y) = 24 + 0$$
$$(-4x + 4x) + (16y - 8y) = 24$$
$$0x + 8y = 24$$
Step3: Solve for y
Divide both sides by 8:
$$y = \frac{24}{8} = 3$$
Step4: Substitute y into first equation
Plug $y=3$ into $-x + 4y = 6$:
$$-x + 4(3) = 6$$
$$-x + 12 = 6$$
Step5: Solve for x
Isolate x:
$$-x = 6 - 12$$
$$-x = -6$$
$$x = 6$$
Snap & solve any problem in the app
Get step-by-step solutions on Sovi AI
Photo-based solutions with guided steps
Explore more problems and detailed explanations
The scaled coefficients are 4 and 1 (for the first and second equations respectively). The combined equation is $0x + 8y = 24$. The solution to the system is $x=6$, $y=3$.