QUESTION IMAGE
Question
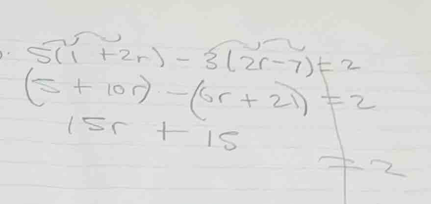
5(1 + 2r) - 3(2r - 7) = 2
(5 + 10r) - (6r + 21) = 2
15r + 15 = 2
Step1: Expand the brackets
First, expand \(5(1 + 2r)\) and \(-3(2r - 7)\) using the distributive property \(a(b + c)=ab+ac\).
For \(5(1 + 2r)\), we get \(5\times1+5\times2r = 5 + 10r\).
For \(-3(2r - 7)\), we get \(-3\times2r-3\times(-7)=-6r + 21\).
So the equation becomes \(5 + 10r-6r + 21=2\).
Step2: Combine like terms
Combine the \(r\)-terms and the constant terms.
The \(r\)-terms: \(10r-6r = 4r\).
The constant terms: \(5 + 21=26\).
So the equation simplifies to \(4r+26 = 2\).
Step3: Isolate the variable term
Subtract 26 from both sides of the equation:
\(4r+26-26=2 - 26\)
\(4r=-24\).
Step4: Solve for \(r\)
Divide both sides by 4:
\(\frac{4r}{4}=\frac{-24}{4}\)
\(r=-6\).
Snap & solve any problem in the app
Get step-by-step solutions on Sovi AI
Photo-based solutions with guided steps
Explore more problems and detailed explanations
\(r = -6\)