QUESTION IMAGE
Question
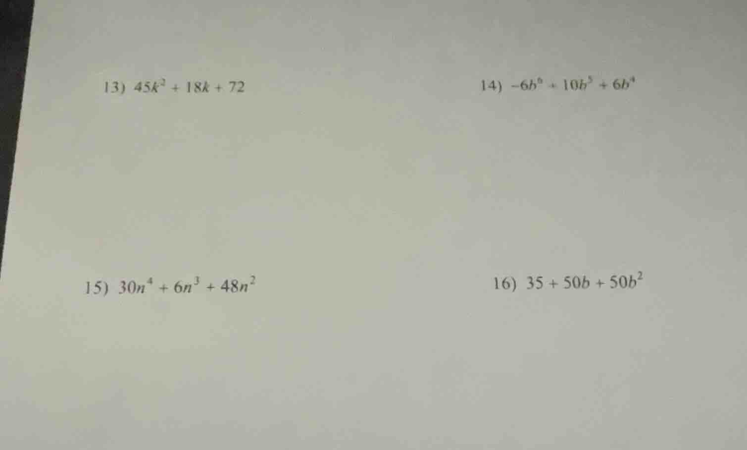
- $45k^{2}+18k + 72$
- $-6b^{6}+10b^{5}+6b^{4}$
- $30n^{4}+6n^{3}+48n^{2}$
- $35 + 50b+50b^{2}$
Problem 13: $45k^2 + 18k + 72$
Step1: Find GCF of coefficients
GCF(45,18,72) = 9
Step2: Factor out the GCF
$9(5k^2 + 2k + 8)$
---
Problem 14: $-6b^6 + 10b^5 + 6b^4$
Step1: Find GCF of terms
GCF(-6,10,6) = 2; lowest $b$-power is $b^4$, so GCF = $2b^4$
Step2: Factor out the GCF
$2b^4(-3b^2 + 5b + 3)$
Step3: Factor out negative sign (optional)
$-2b^4(3b^2 - 5b - 3)$
---
Problem 15: $30n^4 + 6n^3 + 48n^2$
Step1: Find GCF of terms
GCF(30,6,48) = 6; lowest $n$-power is $n^2$, so GCF = $6n^2$
Step2: Factor out the GCF
$6n^2(5n^2 + n + 8)$
---
Problem 16: $35 + 50b + 50b^2$
Step1: Rewrite in standard form
$50b^2 + 50b + 35$
Step2: Find GCF of coefficients
GCF(50,50,35) = 5
Step3: Factor out the GCF
$5(10b^2 + 10b + 7)$
Snap & solve any problem in the app
Get step-by-step solutions on Sovi AI
Photo-based solutions with guided steps
Explore more problems and detailed explanations
- $9(5k^2 + 2k + 8)$
- $-2b^4(3b^2 - 5b - 3)$ or $2b^4(-3b^2 + 5b + 3)$
- $6n^2(5n^2 + n + 8)$
- $5(10b^2 + 10b + 7)$