Sovi.AI - AI Math Tutor

Scan to solve math questions

QUESTION IMAGE

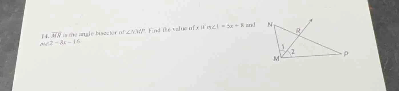
14. $overrightarrow{mr}$ is the angle bisector of $angle nmp$. find the…

Question

  1. $overrightarrow{mr}$ is the angle bisector of $angle nmp$. find the value of $x$ if $mangle1 = 5x + 8$ and $mangle2 = 8x - 16$.

Explanation:

Step1: Set angles equal (angle bisector)

$5x + 8 = 8x - 16$

Step2: Rearrange to isolate x terms

$8 + 16 = 8x - 5x$

Step3: Simplify and solve for x

$24 = 3x \implies x = \frac{24}{3}$

Answer:

$x = 8$