QUESTION IMAGE
Question
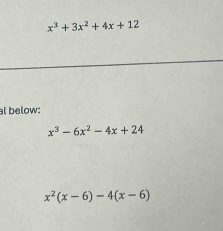
$$x^3 + 3x^2 + 4x + 12$$
al below:
$$x^3 - 6x^2 - 4x + 24$$
$$x^2(x - 6) - 4(x - 6)$$
Step1: Factor first polynomial by grouping
Group terms: $(x^3 + 3x^2) + (4x + 12)$
Factor groups: $x^2(x + 3) + 4(x + 3)$
Factor out common binomial: $(x^2 + 4)(x + 3)$
Step2: Factor second polynomial fully
Given intermediate step: $x^2(x - 6) - 4(x - 6)$
Factor out common binomial: $(x^2 - 4)(x - 6)$
Difference of squares: $(x - 2)(x + 2)(x - 6)$
Snap & solve any problem in the app
Get step-by-step solutions on Sovi AI
Photo-based solutions with guided steps
Explore more problems and detailed explanations
Factored form of $x^3 + 3x^2 + 4x + 12$: $(x^2 + 4)(x + 3)$
Factored form of $x^3 - 6x^2 - 4x + 24$: $(x - 2)(x + 2)(x - 6)$