Sovi.AI - AI Math Tutor

Scan to solve math questions

QUESTION IMAGE

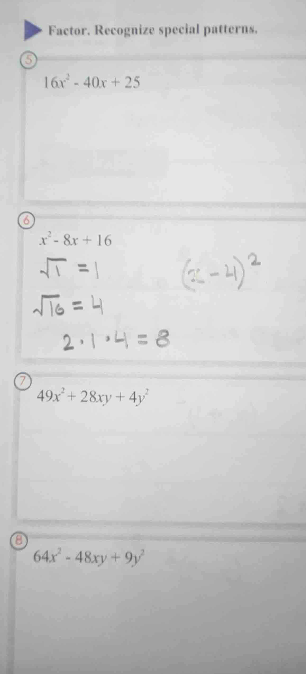
factor. recognize special patterns. 5 $16x^2 - 40x + 25$ 6 $x^2 - 8x + …

Question

factor. recognize special patterns.
5
$16x^2 - 40x + 25$

6
$x^2 - 8x + 16$

7
$49x^2 + 28xy + 4y^2$

8
$64x^2 - 48xy + 9y^2$

Explanation:

Response
Problem 5: \(16x^2 - 40x + 25\)

Step 1: Identify the pattern

The quadratic is a perfect square trinomial. Recall the formula \((a - b)^2 = a^2 - 2ab + b^2\). Here, \(a^2 = 16x^2\), so \(a = 4x\); \(b^2 = 25\), so \(b = 5\). Check the middle term: \(2ab = 2(4x)(5)=40x\), which matches the middle term (with a negative sign, so it's \((4x - 5)^2\)).

Step 2: Factor using the pattern

\(16x^2 - 40x + 25=(4x - 5)^2\)

Step 1: Identify the pattern

Using the perfect square trinomial formula \((a - b)^2 = a^2 - 2ab + b^2\). Here, \(a^2 = x^2\) (so \(a = x\)), \(b^2 = 16\) (so \(b = 4\)). Check the middle term: \(2ab = 2(x)(4)=8x\), which matches the middle term (with a negative sign, so \((x - 4)^2\)).

Step 2: Factor using the pattern

\(x^2 - 8x + 16=(x - 4)^2\)

Step 1: Identify the pattern

This is a perfect square trinomial. Use the formula \((a + b)^2 = a^2 + 2ab + b^2\). Here, \(a^2 = 49x^2\) (so \(a = 7x\)), \(b^2 = 4y^2\) (so \(b = 2y\)). Check the middle term: \(2ab = 2(7x)(2y)=28xy\), which matches.

Step 2: Factor using the pattern

\(49x^2 + 28xy + 4y^2=(7x + 2y)^2\)

Answer:

\((4x - 5)^2\)

Problem 6: \(x^2 - 8x + 16\) (already partially solved, but redoing for clarity)