Sovi.AI - AI Math Tutor

Scan to solve math questions

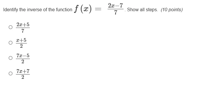
QUESTION IMAGE

identify the inverse of the function $f(x)=\\frac{2x-7}{7}$. show all s…

Question

identify the inverse of the function $f(x)=\frac{2x-7}{7}$. show all steps. (10 points)$\frac{2x+5}{7}$$\frac{x+5}{2}$$\frac{7x-5}{2}$$\frac{7x+7}{2}$

Explanation:

Step1: Set $y = f(x)$

$y = \frac{2x-7}{7}$

Step2: Swap $x$ and $y$

$x = \frac{2y-7}{7}$

Step3: Solve for $y$, multiply by 7

$7x = 2y - 7$

Step4: Isolate $2y$ term

$7x + 7 = 2y$

Step5: Solve for $y$

$y = \frac{7x+7}{2}$

Answer:

$\boldsymbol{\frac{7x+7}{2}}$ (corresponding to the last option)