Sovi.AI - AI Math Tutor

Scan to solve math questions

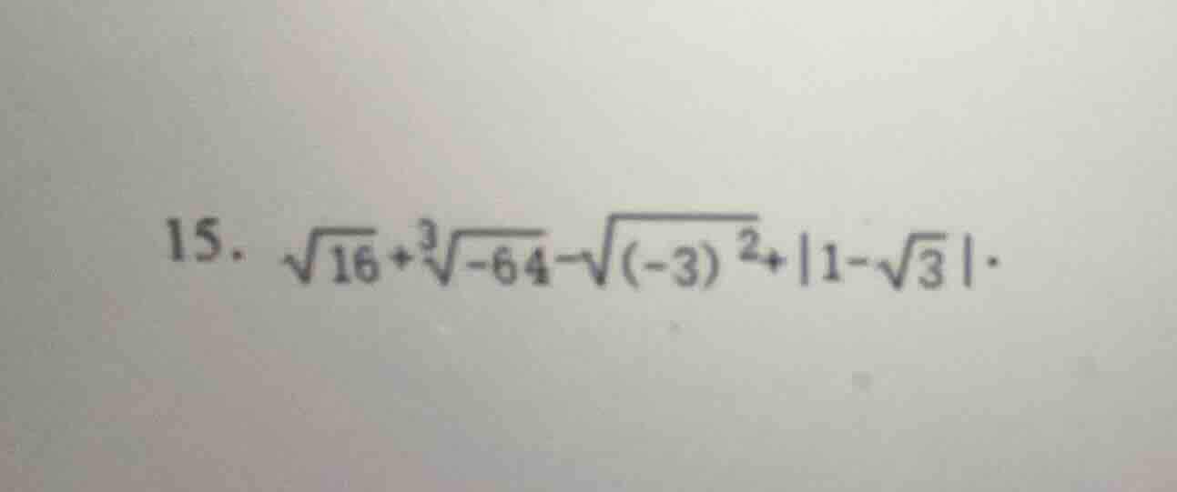
QUESTION IMAGE

15. $sqrt{16} + sqrt3{-64} - sqrt{(-3)^2} + |1 - sqrt{3}|$

Question

  1. $sqrt{16} + sqrt3{-64} - sqrt{(-3)^2} + |1 - sqrt{3}|$

Explanation:

Step1: 计算各根式与绝对值

$\sqrt{16}=4$,$\sqrt[3]{-64}=-4$,$\sqrt{(-3)^2}=3$,$|1-\sqrt{3}|=\sqrt{3}-1$

Step2: 代入原式进行计算

$4 + (-4) - 3 + (\sqrt{3}-1)$

Step3: 化简合并同类项

$4-4-3-1+\sqrt{3}=-4+\sqrt{3}$

Answer:

$\sqrt{3}-4$