QUESTION IMAGE
Question
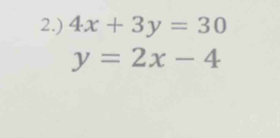
2.) $4x + 3y = 30$
$y = 2x - 4$
Step1: Substitute y into first equation
Substitute $y=2x-4$ into $4x+3y=30$:
$4x + 3(2x - 4) = 30$
Step2: Expand and simplify the equation
Distribute 3 and combine like terms:
$4x + 6x - 12 = 30$
$10x - 12 = 30$
Step3: Solve for x
Isolate x by adding 12 then dividing by 10:
$10x = 30 + 12$
$10x = 42$
$x = \frac{42}{10} = \frac{21}{5}$
Step4: Solve for y
Substitute $x=\frac{21}{5}$ into $y=2x-4$:
$y = 2\times\frac{21}{5} - 4 = \frac{42}{5} - \frac{20}{5} = \frac{22}{5}$
Snap & solve any problem in the app
Get step-by-step solutions on Sovi AI
Photo-based solutions with guided steps
Explore more problems and detailed explanations
$x=\frac{21}{5}$, $y=\frac{22}{5}$ (or $x=4.2$, $y=4.4$)