QUESTION IMAGE
Question
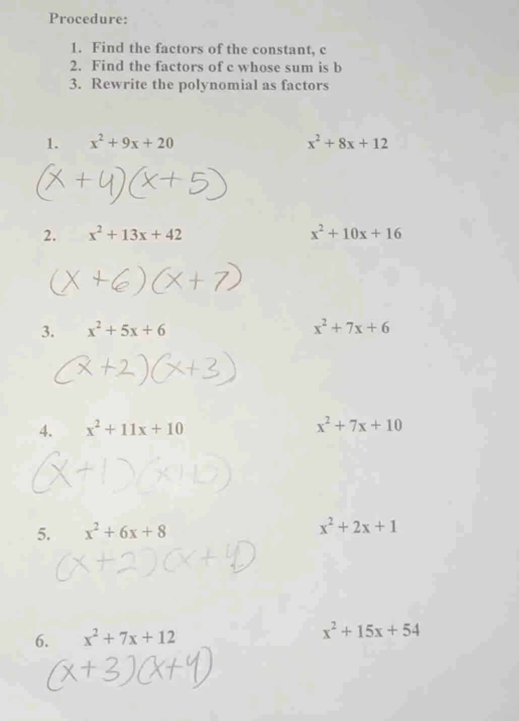
procedure:
- find the factors of the constant, c
- find the factors of c whose sum is b
- rewrite the polynomial as factors
- \\( x^2 + 9x + 20 \\) \\( x^2 + 8x + 12 \\)
- \\( x^2 + 13x + 42 \\) \\( x^2 + 10x + 16 \\)
- \\( x^2 + 5x + 6 \\) \\( x^2 + 7x + 6 \\)
- \\( x^2 + 11x + 10 \\) \\( x^2 + 7x + 10 \\)
- \\( x^2 + 6x + 8 \\) \\( x^2 + 2x + 1 \\)
- \\( x^2 + 7x + 12 \\) \\( x^2 + 15x + 54 \\)
Step1: Factor $x^2+8x+12$
Find factors of 12 that sum to 8: 2 and 6.
$\boldsymbol{x^2+8x+12=(x+2)(x+6)}$
Step2: Factor $x^2+10x+16$
Find factors of 16 that sum to 10: 2 and 8.
$\boldsymbol{x^2+10x+16=(x+2)(x+8)}$
Step3: Factor $x^2+7x+6$
Find factors of 6 that sum to 7: 1 and 6.
$\boldsymbol{x^2+7x+6=(x+1)(x+6)}$
Step4: Factor $x^2+7x+10$
Find factors of 10 that sum to 7: 2 and 5.
$\boldsymbol{x^2+7x+10=(x+2)(x+5)}$
Step5: Factor $x^2+2x+1$
Find factors of 1 that sum to 2: 1 and 1.
$\boldsymbol{x^2+2x+1=(x+1)^2}$
Step6: Factor $x^2+15x+54$
Find factors of 54 that sum to 15: 6 and 9.
$\boldsymbol{x^2+15x+54=(x+6)(x+9)}$
Snap & solve any problem in the app
Get step-by-step solutions on Sovi AI
Photo-based solutions with guided steps
Explore more problems and detailed explanations
- $x^2+9x+20=(x+4)(x+5)$; $x^2+8x+12=(x+2)(x+6)$
- $x^2+13x+42=(x+6)(x+7)$; $x^2+10x+16=(x+2)(x+8)$
- $x^2+5x+6=(x+2)(x+3)$; $x^2+7x+6=(x+1)(x+6)$
- $x^2+11x+10=(x+1)(x+10)$; $x^2+7x+10=(x+2)(x+5)$
- $x^2+6x+8=(x+2)(x+4)$; $x^2+2x+1=(x+1)^2$
- $x^2+7x+12=(x+3)(x+4)$; $x^2+15x+54=(x+6)(x+9)$