Sovi.AI - AI Math Tutor

Scan to solve math questions

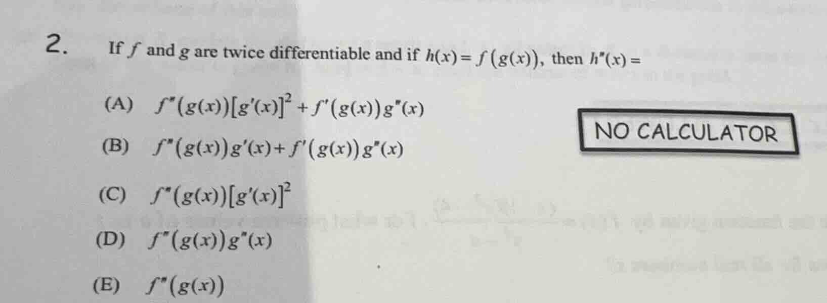
QUESTION IMAGE

2. if f and g are twice differentiable and if h(x) = f(g(x)), then h(x)…

Question

  1. if f and g are twice differentiable and if h(x) = f(g(x)), then h(x) = (a) f(g(x))g(x)² + f(g(x))g(x) (b) f(g(x))g(x) + f(g(x))g(x) (c) f(g(x))g(x)² (d) f(g(x))g(x) (e) f(g(x)) no calculator

Explanation:

Step1: Find the first derivative of \( h(x) \)

We use the chain rule. If \( h(x) = f(g(x)) \), then the first derivative \( h'(x) \) is given by the chain rule: \( h'(x) = f'(g(x)) \cdot g'(x) \).

Step2: Find the second derivative of \( h(x) \)

Now, we need to differentiate \( h'(x) = f'(g(x)) \cdot g'(x) \) with respect to \( x \). We use the product rule and the chain rule. The product rule states that if we have a function \( u(x) \cdot v(x) \), its derivative is \( u'(x)v(x) + u(x)v'(x) \). Let \( u(x) = f'(g(x)) \) and \( v(x) = g'(x) \).

First, find \( u'(x) \): Using the chain rule, the derivative of \( f'(g(x)) \) with respect to \( x \) is \( f''(g(x)) \cdot g'(x) \).

Then, find \( v'(x) \): The derivative of \( g'(x) \) with respect to \( x \) is \( g''(x) \).

Now, applying the product rule:
\( h''(x) = u'(x)v(x) + u(x)v'(x) \)
Substitute \( u'(x) = f''(g(x)) \cdot g'(x) \), \( v(x) = g'(x) \), \( u(x) = f'(g(x)) \), and \( v'(x) = g''(x) \):
\( h''(x) = f''(g(x)) \cdot g'(x) \cdot g'(x) + f'(g(x)) \cdot g''(x) \)
Simplify the first term: \( f''(g(x)) \cdot [g'(x)]^2 + f'(g(x)) \cdot g''(x) \)

Answer:

A. \( f''(g(x))[g'(x)]^2 + f'(g(x))g''(x) \)