Sovi.AI - AI Math Tutor

Scan to solve math questions

QUESTION IMAGE

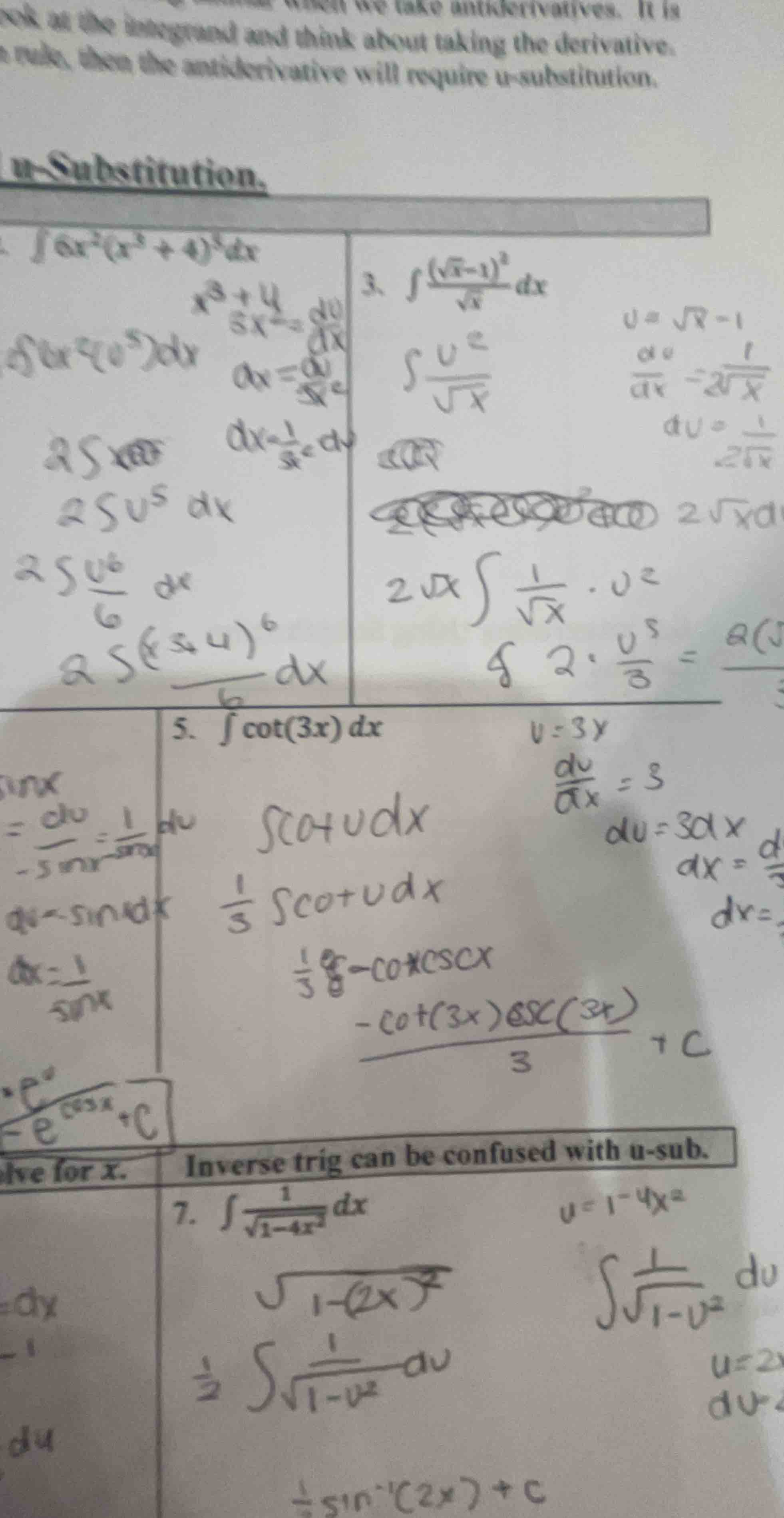
when we take antiderivatives. it is look at the integrand and think abo…

Question

when we take antiderivatives. it is look at the integrand and think about taking the derivative. rule, then the antiderivative will require u - substitution.

u - substitution.

\\(\int 6x^2(x^3 + 4)^5 dx\\)

  1. \\(\int \frac{(\sqrt{x} - 1)^2}{\sqrt{x}} dx\\)
  1. \\(\int \cot(3x) dx\\)
  1. \\(\int \frac{1}{\sqrt{1 - 4x^2}} dx\\)

inverse trig can be confused with u - sub.

solve for x.

Explanation:

Response

To solve the integral \(\int \frac{1}{\sqrt{1 - 4x^2}} \, dx\) (problem 7), we use the inverse trigonometric substitution formula for \(\int \frac{1}{\sqrt{1 - u^2}} \, du=\sin^{-1}(u)+C\).

Step 1: Rewrite the Integrand

Rewrite the denominator to match the form \(\sqrt{1 - u^2}\):
\[
\int \frac{1}{\sqrt{1 - (2x)^2}} \, dx
\]

Step 2: Apply \(u\)-Substitution

Let \(u = 2x\). Then, differentiate \(u\) with respect to \(x\):
\[
\frac{du}{dx}=2 \implies dx=\frac{du}{2}
\]

Step 3: Substitute \(u\) and \(dx\)

Substitute \(u = 2x\) and \(dx=\frac{du}{2}\) into the integral:
\[
\int \frac{1}{\sqrt{1 - u^2}} \cdot \frac{du}{2}
\]

Step 4: Simplify and Integrate

Factor out the constant \(\frac{1}{2}\) and integrate using the inverse sine formula:
\[
\frac{1}{2} \int \frac{1}{\sqrt{1 - u^2}} \, du=\frac{1}{2} \sin^{-1}(u)+C
\]

Step 5: Substitute Back \(u\)

Replace \(u\) with \(2x\) to get the final answer:
\[
\frac{1}{2} \sin^{-1}(2x)+C
\]

Answer:

\(\boxed{\frac{1}{2} \sin^{-1}(2x) + C}\)